Cara Menghitung Perkalian Pangkat Menghitung pangkat
jika cari Cara Menghitung Perkalian Dasar Anda mengunjungi web yang tepat. kita punya 5 Tentang Foto Cara Menghitung Perkalian Dasar favorit Cara Menghitung Perkalian Dasar, Cara Menghitung Perkalian Dasar dan lagi Cara Menghitung Perkalian Dasar. di sini
Cara Menghitung Perkalian Dasar
www.aanwijzing.com perkalian menghitung
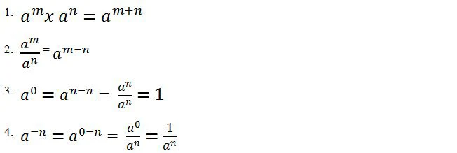
Cara Menghitung Bilangan Pangkat Negatif - Mobile Legends
Cara Menghitung Pecahan Berpangkat
belajarquiet.blogspot.com Cara Menghitung Perkalian Dasar
www.aanwijzing.com perkalian menghitung dasar susun angka sebesar yaitu kita
Cara Menghitung Perkalian Cepat 7 Detik - Pangkat 2 Kuadrat - FAN-MaTH
iftitahprimasanti.blogspot.com menghitung pangkat
Perkalian menghitung. Cara menghitung pecahan berpangkat. Cara menghitung bilangan pangkat negatif
